2026年3月26日,苏州大学程笑笑教授、郑州大学李占伟教授、郑州大学/苏州大学张伟教授合作在Chem期刊上发表了一篇题为“Conventional versus three-state helicity in chiral copolymers: Reversal dynamics and programmable chiroptical switches”的研究成果。
该成果报道了一种基于高分子构筑基元的超分子手性组装体,该超分子组装体具有完全可逆的热响应和光响应三态螺旋性,可通过光热实现手性光学信号在三个状态之间的可逆、多循环切换,并构建了七种可编程的手性光学图谱。
论文通讯作者是程笑笑教授、李占伟教授和张伟教授;第一作者是程笑笑教授。
利用高分子构筑基元进行超分子手性组装在手性信息存储、传感和自适应光学器件方面具有巨大潜力。然而,现有的可切换手性体系通常依赖于路径复杂度的调控。在这项工作中,苏州大学程笑笑教授、郑州大学李占伟教授、郑州大学/苏州大学张伟教授巧妙设计了一种新型的手性超分子组装体。该组装体结合了共价主链结构以及非共价超分子结构的优势,阐明了一种罕见的三态螺旋性新机制:低温超堆叠螺旋态、中温单链螺旋主导态以及高温无序无螺旋态。他们结合了动力学分析、溶剂解离实验和理论模拟,解析了三态螺旋转换的动力学与热力学机制,揭示了该现象源自聚集体内部单链螺旋构象与由紧密堆积的聚合物主链形成的高阶超堆叠螺旋结构之间的竞争与平衡,而非传统的聚合物主链螺旋反转或液晶螺旋方向改变。
该体系具有优异的稳定性、完全的可逆性以及对光/热刺激的明确响应,为开发新一代具有多模态信息存储、处理和可编程响应能力的智能软物质材料、手性光电器件和手性超材料开辟了全新路径。这种基于分子构象与超分子组装之间复杂、可编程的相互作用为模拟更高级的生物信息处理系统提供了有力的材料工具。

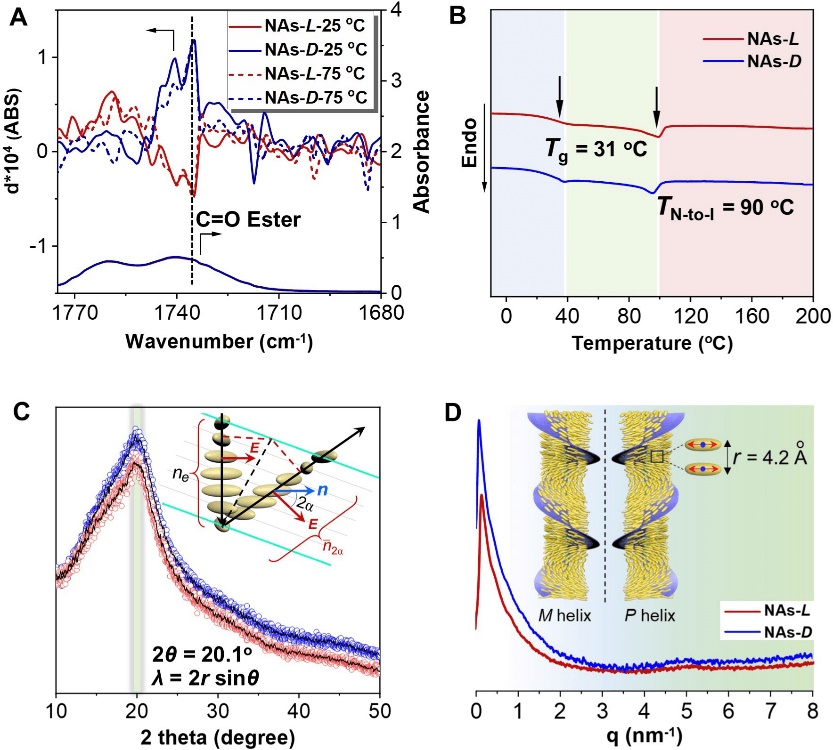
图1:超分子手性组装体的热力学解离与重组行为。

图2:手性转变的动力学和热力学研究。

图3:超分子手性组装体的解离实验和热稳定性实验。

图4:热控/光控构筑完全可逆的多功能编程图谱。

图5:偶氮苯液晶超分子结构的内部排列。

图6:胆甾硬核模型与激子手性耦合模型。
高分子构筑基元赋予了超分子手性组装体的全新调控机制,标志着在软物质体系中实现可编程圆二色效应的关键进展,赋予了共价高分子链的可加工性能以及非共价超分子的可调控性能,有望在手性光学逻辑门、信息存储加密等智能光子器件领域得到广泛应用。(来源:科学网)
相关论文信息:https://doi.org/10.1016/j.chempr.2026.102988