|
|
|
|
|
学会新期刊《CSIAM Transactions on Life Sciences》2026年第一期精选文章推荐(二) |
|
|
1、论文题目:
Vegetation Patterns: Structures and Dynamics
Li-Feng Hou, Jun Zhang, Gui-Quan Sun, Zhen Jin
2、文章引用:
Vegetation Patterns: Structures and Dynamics. (2026). CSIAM Transactions on Life Sciences, 2(1), 91-132.
3、文章介绍:
植被斑图是干旱与半干旱生态系统中最具代表性的结构特征之一,如斑块、条带和迷宫状分布等。这些结构并非随机形成,而是植被系统在水分限制等作用下通过非线性反馈机制形成的自组织形式。因此,植被斑图被称为生态系统的指纹,蕴含着丰富的生态信息,不仅反映资源分配状况,也直接关系到生态系统的稳定性与恢复能力。
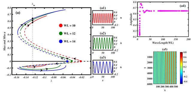
本文围绕干旱半干旱区域的植被斑图结构特征及其动力学机制,在系统梳理已有研究成果的基础上,从非线性动力学与生态系统管理的交叉视角出发,构建了“形成机制—稳定性理论—预警与调控”相结合的综合分析框架,并重点从以下三个方面总结相关研究进展。(1)在斑图形成机制方面,梳理了植被–水耦合系统中空间自组织结构形成的主要理论机制。相关研究表明,局部资源积累形成的正反馈与资源扩散和竞争形成的空间负反馈相互作用,可驱动植被系统产生斑块、条带等典型空间结构。基于反应–扩散理论的研究进一步揭示了图灵不稳定机制,并推动了多种植被–水动力学模型的发展。本文在此基础上对不同模型及其反馈机制进行了系统比较与归纳,阐明了反馈结构与扩散尺度差异在斑图形成中的关键作用。(2)在稳定性与临界转变理论方面,针对植被系统的多稳态与分岔结构进行了系统综述,揭示了均匀植被态、周期斑图态与裸地态之间的多稳态分布及其跃迁机制。在相同环境条件下,系统可能同时存在多种稳定结构,并在降水降低或扰动增强条件下发生临界跃迁,呈现显著迟滞与不可逆特征。通过分岔图与振幅分析,定量揭示了多波长周期斑图的共存机制及类嵌合结构的形成条件(图1)。

图 1不同波长周期斑图的共存结构。分岔图展示了图灵不稳定区内多种周期斑图状态的共存现象。(a1)-(a3) 不同波长的空间结构;(a4) 振幅随波长变化关系;(a5) 两种不同波长斑图共存的类嵌合结构。
(3)在生态预警与恢复调控方面,建立了基于斑图结构演化的早期预警指标体系,并提出了基于最优控制理论的结构调控方法。研究发现,斑块间距扩张、空间不规则性增强以及恢复速率减缓可作为系统接近临界阈值的预警信号。同时,通过构建最优控制问题实现了对人类活动强度的空间配置优化,成功引导系统向目标斑图结构演化(图2)。总体而言,本文通过对植被斑图形成机制、稳定性理论及生态调控策略等研究方向的系统整合,构建了一个从空间结构形成到生态恢复调控的综合理论框架,为理解干旱半干旱生态系统的结构演化规律及其管理策略提供了新的综合视角。

图 2相同控制比例不同控制区域数量下的点状植被斑图向条纹斑图恢复对比图。(a1)-(a4) 植被斑图;(b1)-(b4) 区域内部人类活动强度分布;(c1)-(c4) 区域边界人类活动强度分布;
4、作者介绍:
侯丽峰,博士,中北大学讲师,主要从事斑图动力学和反应扩散方程最优控制理论的研究,在Physics Reports、Journal of Mathematical Biology、Chaos等国际期刊发表论文多篇。
张骏,美国物理学会会士,欧洲科学院院士,上海纽约大学物理学与数学教授,纽约大学全球特聘教授,纽约大学库朗数学研究所应用数学实验室联合主任。主要研究领域为流体物理、复杂系统等,研究成果发表在Nature、Annual Review of Fluid Mechanics、Physical Review Letters、Journal of Fluid Mechanics、Physics Today等期刊上,荣获2025年度“宝钢优秀教师奖”。
孙桂全,中北大学教授,数学学院院长,博士生导师,享受国务院政府特殊津贴,国家级领军人才,国家优秀青年科学基金获得者,中国数学会生物数学专委会副主任。主要从事生物数学领域的研究,包括生态斑图动力学、传染病传播动力学和复杂性科学等,在Physics Reports、Physics of Life Reviews、J. Differential Equations、SIAM J. Appl. Math.、PLoS Computational Biology等期刊发表论文60余篇。主持国家重点研发计划1项,获得霍英东教育基金会青年教师基金,以第一完成人获得山西省科技奖一等奖。
靳祯,山西大学二级教授,博士生导师,教育部新世纪人才,国务院政府特贴专家,山西省科技创新团队负责人,教育部重点实验室主任,山西省数学会理事长,主要从事微分方程与动力系统、生物数学、复杂网络和人工智能等教学与研究。培养硕博研究生、博士后160余人, 其中2人获得国家级人才。主持国家自然科学重点项目2项、面上项目6项、联合重点项目1项,科技部重点研发子项目1项,省部级项目40余项;发表了系列高质量学术论文,论文被引用超万次,连续获得爱思唯尔高被引学者,2019年和2024年科睿唯安高被引科学家;获山西省科学技术奖(自然科学类)一等奖2项,教育部高等学校优秀成果(自然科学类)二等奖1项,出版教材和专著6部。
5、期刊简介:
《CSIAM Transactions on Life Sciences》(CSIAM-LS)是由中国工业与应用数学学会(CSIAM)继旗舰期刊《CSIAM Transactions on Applied Mathematics》后推出的一本新期刊。CSIAM-LS是一本创新性的跨学科期刊,聚焦数学与生命科学的交叉领域,覆盖生物学和医学的数学理论、模型和算法,包括计算系统生物学、生物信息学、生物医学工程、群体动力学、计算神经科学等。CSIAM-LS由中国科学院院士、武汉大学校长张平文担任主编,上海交通大学数学科学学院讲席教授楼元担任总编辑。
期刊官网:https://global-sci.com/csiam-ls/index
《CSIAM Transactions on Life Sciences》欢迎大家积极投稿。投稿网站:https://mc03.manuscriptcentral.com/csiam-tls
特别声明:本文转载仅仅是出于传播信息的需要,并不意味着代表本网站观点或证实其内容的真实性;如其他媒体、网站或个人从本网站转载使用,须保留本网站注明的“来源”,并自负版权等法律责任;作者如果不希望被转载或者联系转载稿费等事宜,请与我们接洽。