|
|
|
|
|
热处理和加速老化对云杉木化学成分、形态和性能的影响| MDPI Forests |
|
|
论文标题:Impact of Thermal Treatment and Accelerated Aging on the Chemical Composition, Morphology, and Properties of Spruce Wood
论文链接:https://www.mdpi.com/1999-4907/16/1/180
期刊名:Forests
期刊主页:https://www.mdpi.com/journal/forests
把木头放进烤箱“烤”一下,会发生什么神奇的变化?最近,斯洛伐克兹沃伦技术大学Frantisek Kacik教授团队的一项有趣研究揭示了热处理对云杉木的改造效果——不仅能让木材变得更耐用、更美观,还能为环保回收利用提供新思路。一起来看看科学家们发现了什么!
背景介绍
热改性是一种成熟的木材处理工艺,能提升木材的尺寸稳定性(不易变形)、生物耐久性(防腐防虫)、美观性(呈现深棕色)并减轻重量,因此广泛应用于建筑和家具领域。但木材热改性的工业应用,以及在其生命周期结束后如何利用和回收,是近几年才开始受到关注的问题。热改性过程本身对环境的影响相对较小,产生的废物极少,副产品可被收集和提纯以供进一步利用。更重要的是,热处理木材不含化学防腐剂,在其生命周期结束后可以回收利用,不会像传统化学处理木材那样产生有害影响。这种可回收性有助于实现更可持续的木制品生命周期。基于这一背景,作者利用热处理技术处理云杉木,系统揭示了其性能变化规律。
研究方法与实验设计
本实验采用捷克中部地区的云杉木材,加工成径向试样,分为四组:一组为未处理对照组(REF),其余三组分别进行160 °C、180 °C和210 °C的Thermowood工艺热处理(记为160-TW、180-TW、210-TW)(图1)。然后将热处理后的试样与对照组一同放入氙灯老化试验箱(Q-SUN Xe-3-HS)进行600小时的湿式加速老化,模拟户外辐射和雨水环境。最后采用多种技术评估木材化学成分、物理性能、纤维形态的变化。

图1.云杉木材的热改性工艺。
主要研究结果
1.化学成分变化:
热处理通过降解半纤维素显著改变了云杉木材的化学成分(表1),导致半纤维素含量大幅降低(210 °C时下降72.39%,加速老化后高达77.70%),而更稳定的木质素、纤维素及萃取物含量相对增加;同时,木材中的萃取物在高温下会发生迁移、分解或转化,部分半纤维素在湿态老化过程中还会被水浸出。
表1.未经处理、热处理和老化的云杉木的化学成分(%odw,SD 在括号内)。
|
Sample
|
Extractives
|
Lignin
|
Cellulose
|
Holocellulose
|
Hemicelluloses
|
|
REF
|
0.98 (0.05)
|
26.24 (0.04)
|
45.35 (0.26)
|
73.43 (0.61)
|
28.07 (0.68)
|
|
160-TW
|
2.11 (0.07)
|
26.45 (0.07)
|
45.48 (0.14)
|
71.54 (0.31)
|
26.06 (0.38)
|
|
180-TW
|
2.71 (0.26)
|
28.65 (0.09)
|
46.33 (0.21)
|
66.93 (0.61)
|
20.59 (0.81)
|
|
210-TW
|
3.49 (0.25)
|
33.08 (0.05)
|
50.64 (0.17)
|
58.39 (0.12)
|
7.75 (0.26)
|
|
160-TW-XE
|
1.63 (0.10)
|
27.68 (0.40)
|
45.38 (0.12)
|
71.38 (0.36)
|
26.00 (0.40)
|
|
180-TW-XE
|
2.25 (0.14)
|
32.14 (0.18)
|
46.23 (0.37)
|
64.47 (0.27)
|
18.24 (0.33)
|
|
210-TW-XE
|
3.07 (0.23)
|
35.26 (0.43)
|
52.56 (0.11)
|
-
0.22)
|
6.26 (0.12)
|
2.颜色变化
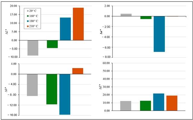
热处理使云杉木颜色发生显著变化(图2):亮度(L*)从85降至32,a*和b*值先增后降(表2),颜色由浅色逐渐变为深棕色,整体色差ΔE随温度升高成倍增加(图3)。在模拟室外条件的加速老化过程中(图4),辐射和水共同作用导致所有木材逐渐变灰,形成“包浆”,且水的影响随时间增大。
表2.热处理云杉木老化600小时前后颜色坐标 L*、a*和 b* 值的基本统计特征。
|
Conditions
|
Color Coordinates
|
Basic
|
Temperature (°C)
|
|
Statistical Characteristics
|
REF
|
160
|
180
|
210
|
|
Before Aging (TW)
|
L*
|
|
85.07
|
75.99
|
58.46
|
32.09
|
|
s
|
0.74
|
2.52
|
2.14
|
2.03
|
|
a*
|
|
3.44
|
7.05
|
12.67
|
7.02
|
|
s
|
0.37
|
0.57
|
0.65
|
1.25
|
|
b*
|
|
19.06
|
26.86
|
29.79
|
10.59
|
|
s
|
0.65
|
1.14
|
1.02
|
2.54
|
|
After Aging (TW-XE)
|
L*
|
|
76.27
|
71.51
|
71.71
|
51.00
|
|
s
|
1.76
|
2.89
|
2.35
|
10.63
|
|
a*
|
|
3.91
|
6.50
|
5.77
|
6.97
|
|
s
|
0.64
|
0.86
|
0.80
|
1.82
|
|
b*
|
|
10.60
|
15.16
|
14.07
|
12.93
|
|
s
|
0.93
|
2.09
|
2.00
|
1.90
|

图2.云杉木样本在热处理和加速老化过程中的颜色变化。

图3.云杉木热处理后颜色坐标和总色差的差异。

图4.加速老化后热处理云杉木的颜色坐标差异和总色差。
3.表面形态
热处理、老化和解剖方向三个因素及其交互作用显著影响云杉木的表面粗糙度(表3)。原始木材因细胞结构取向,纹理方向粗糙度低于垂直方向。热处理略微增加粗糙度,且因春材更易降解,垂直方向变化更大,但实际应用可忽略。老化后,辐射和水作用导致未处理木材羰基减少、半纤维素水解,粗糙度显著增加,且因春材(密度300 kg·m?³)比夏材(750 kg·m?³)侵蚀更快,垂直方向变化更明显,形成针叶树典型的“塑性纹理”。热处理增强了木材疏水性,使其更耐老化侵蚀,粗糙度变化较小;但210 °C热处理因初期炭化,耐水性降低,老化后粗糙度变化反而更显著。云杉木表面形态受研究因素影响而发生的变化可以从地形高程图(图5和图6)中看出。
表3.热处理云杉木加速老化600小时前后粗糙度参数的统计特征。
|
Temperature (°C)
|
Statistical
Characteristics
|
Roughness Parameters—Parallel to Fibers (μm)
|
|
Before Aging (TW)
|
After Aging (TW-XE)
|
|
Ra
|
Rz
|
RSm
|
Ra
|
Rz
|
RSm
|
|
20
(REF)
|
|
3.16
|
25.47
|
487.62
|
11.57
|
86.78
|
1314.90
|
|
s
|
0.78
|
6.53
|
116.91
|
2.75
|
15.09
|
685.25
|
|
160
|
|
4.07
|
29.26
|
696.13
|
7.68
|
49.36
|
2037.03
|
|
s
|
2.93
|
15.82
|
303.12
|
3.13
|
20.26
|
1049.18
|
|
180
|
|
4.08
|
26.09
|
563.62
|
6.16
|
41.33
|
1350.95
|
|
s
|
1.84
|
11.29
|
252.33
|
2.09
|
14.06
|
755.55
|
|
210
|
|
4.34
|
27.65
|
582.96
|
11.01
|
75.96
|
1527.38
|
|
s
|
1.49
|
8.62
|
329.68
|
5.21
|
37.32
|
864.09
|
|
|
|
Roughness parameters—perpendicular to fibers (μm)
|
|
|
|
Ra
|
Rz
|
RSm
|
Ra
|
Rz
|
RSm
|
|
20
(REF)
|
|
6.09
|
48.29
|
251.08
|
35.2
|
292.27
|
1180.421
|
|
s
|
0.65
|
5.59
|
22.20
|
5.71
|
47.00
|
987.25
|
|
160
|
|
7.99
|
54.54
|
522.26
|
23.46
|
151.31
|
1854.32
|
|
s
|
2.35
|
16.37
|
398.98
|
5.38
|
32.22
|
1042.30
|
|
180
|
|
5.15
|
43.71
|
227.50
|
33.45
|
149.60
|
2938.51
|
|
s
|
1.41
|
11.49
|
208.09
|
7.03
|
20.70
|
1339.36
|
|
210
|
|
5.86
|
46.76
|
242.61
|
48.19
|
213.55
|
1180.78
|
|
s
|
2.10
|
14.29
|
235.75
|
12.85
|
93.12
|
1371.42
|

图5.云杉木表面经不同热处理后的地形高程图。

图6.热改性云杉木在加速老化600小时后的地形高程图。
4.云杉木的水润湿试验
水润湿性实验表明,热处理显著改变了云杉木的表面润湿性(表4):未处理木材呈亲水性(接触角32°,浸润时间26秒);热处理后转变为疏水性,接触角均高于100°,浸润时间延长24-37倍。加速老化后,所有样品的耐水性均显著下降,表现为接触角大幅降低、润湿时间明显缩短,且表面异质性增强。其中,210 °C热处理的木材老化后几乎完全丧失疏水性,易被完全浸润。研究证实,热处理赋予木材的疏水特性会随老化过程逐渐减弱,木材重新变得容易发生降解。
表4.热处理云杉木老化600小时前后接触角θ0的基本统计特征。
|
Temperature
(°C)
|
Statistical
Characteristics
|
Wetting Before Aging (TW)
|
Wetting After Aging
(TW-XE)
|
|
Contact
Angle
θ (°)
|
Time of
Wetting
t (s)
|
Contact
Angle
θ (°)
|
Time of
Wetting
t (s)
|
|
20
(REF)
|
|
32
|
26
|
9
|
1.2
|
|
s
|
7
|
19
|
4
|
0.4
|
|
160
|
|
104
|
625
|
72
|
13.8
|
|
s
|
5
|
127
|
21
|
9.2
|
|
180
|
|
107
|
984
|
32
|
2.5
|
|
s
|
8
|
242
|
22
|
1.8
|
|
210
|
|
104
|
876
|
2
|
0.3
|
|
s
|
7
|
237
|
3
|
0.4
|
5. FTIR光谱
FTIR光谱分析显示(图7),热改性木材在紫外线照射前后的最显著变化是木质素和羰基的特征吸收。木质素的多个特征吸收带(如1509、1596 cm-1)在老化后强度降低甚至完全消失,表明热改性并不能保护木质素免受光降解。同时,羰基区域(1800-1630 cm-1)的吸收带强度显著降低且峰值发生偏移,不同温度处理的样品降幅达62%–72%。这些变化源于紫外线照射引发的复杂反应:一方面木质素降解生成自由基并与氧气反应产生羰基化合物,另一方面随着照射时间延长,木材表面的乙酰基、酯基和羧酸也会发生降解,最终导致羰基吸收带强度降低。


图7.(a)云杉木经160°C热处理(160-TW)和加速老化(160-TW-XE)后的FTIR光谱。(b)云杉木经180°C热处理(180-TW)和加速老化(180-TW-XE)后的FTIR光谱。(c)云杉木经210°C热处理(210-TW)和加速老化(210-TW-XE)后的FTIR光谱。
6 纤维测试仪分析
纤维测试仪分析表明,热处理和加速老化显著改变了云杉木纤维的尺寸分布(图8和图9)。在纤维长度方面,随着热处理温度升高,长纤维(>0.5 mm)比例持续下降,细纤维比例上升;210 °C热处理结合老化(210-TW-XE)效果最显著,长纤维含量降低64%,细纤维比例升至67.03%。在纤维宽度方面,180 °C处理使宽纤维(>30.1 μm)减少29%,210 °C处理减少51%,老化后进一步减少8%。研究还发现,树干部位比树梢部位的细纤维更多。这些纤维尺寸的变化是不可逆的,反映了纤维的变形或“收缩”,这源于热处理使细胞壁处于永久性应力状态,可能导致木材机械强度损失。因此,需要优化改性条件,在改善木材性能的同时避免过度损失强度。

图8.云杉木样品的纤维长度分布取决于其处理方式。

图9.云杉木样品的纤维宽度分布取决于其处理方式。
结论
热改性木材不含化学防腐剂,比传统化学处理木材更环保。这项研究发现,老化后的热处理木材仍有再利用价值:老化后木材润湿性增强,更容易与胶粘剂结合,适合生产刨花板或纤维增强复合材料;老化木材中木质素含量相对增加,可用于提取酚类化合物,生产粘合剂或生物基材料;也可作为生物质燃料用于燃烧或热解。未来还需要研究自然老化和加速老化对更多常见木材种类(如松木)的影响,并从排放物和能源需求角度进行综合评估。为实现更循环、更环保的木材加工方式提供了科学依据,让我们看到了木材资源可持续利用的新方向。
Forests 期刊介绍
主编:Giacomo Alessandro Gerosa, Catholic University of Brescia, Italy
期刊主要涵盖林业及相关领域的最新科研成果。期刊目前已经被 Scopus、SCIE、Ei Compendex 等多个学术数据库收录。
|
2024 Impact Factor
|
2.5
|
|
2024 CiteScore
|
4.6
|
|
Time to First Decision
|
16.8 Days
|
|
Acceptance to Publication
|
2.5 Days
|
特别声明:本文转载仅仅是出于传播信息的需要,并不意味着代表本网站观点或证实其内容的真实性;如其他媒体、网站或个人从本网站转载使用,须保留本网站注明的“来源”,并自负版权等法律责任;作者如果不希望被转载或者联系转载稿费等事宜,请与我们接洽。