|
|
|
|
|
一种新型4D分数阶忆阻Hopfield神经网络的FPGA动态分析与实现 | MDPI Fractal Fract |
|
|
论文标题:Dynamic Analysis and Implementation of FPGA for a New 4D Fractional-Order Memristive Hopfield Neural Network
论文链接:https://doi.org/10.3390/fractalfract8010003
期刊名:Fractal Fract
期刊主页:https://www.mdpi.com/journal/fractalfract
研究背景与发现
人工神经网络在众多领域应用广泛,混沌特性与神经网络存在高度关联性,而忆阻器凭借独特的记忆特性可精准模拟大脑突触,分数阶微分系统又具备突出的历史记忆能力,二者结合能显著增强系统的记忆性能,分数阶忆阻神经网络也因此成为研究热点。但目前已有的相关模型,在结构设计和动态行为表现上仍有进一步优化的空间。
对此,长沙理工大学的研究团队展开专项研究,聚焦分数阶忆阻Hopfield神经网络的建模、分析与硬件实现,核心围绕新型四维分数阶忆阻Hopfield神经网络(4D-FOMHNN)展开系列探究。研究不仅验证了所提出的新型忆阻器模型与 4D-FOMHNN 系统的有效性,还发现该系统在较低分数阶数下会表现出更强的混沌行为,这一特性有助于提升神经网络内部信息处理与存储等操作效率。同时,团队在 FPGA 平台上完成了该系统的硬件实现,其测试结果与 MATLAB 数值模拟仿真结果一致,充分证实了 4D-FOMHNN 系统的硬件可行性,也为该系统后续在随机数生成器、图像加密、安全通信等领域的应用提供了理论基础。
模型构建与求解
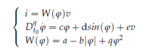
本文以 Caputo 分数阶微积分为理论基础,提出分数阶磁通忆阻器模型,

基于磁控忆阻器与 Caputo 分数阶定义,替换 Hopfield 神经网络(HNN)中神经元的自突触权重,构建 4D-FOMHNN 系统模型,

并通过 Adomian 分解法(ADM),令系统方程左侧为零,求解得到系统唯一零平衡点 (0,0,0,0),推导其雅可比矩阵与特征多项式,结合分数阶系统稳定性判据,验证了零平衡点在不同参数下均为稳定焦点,完成了系统平衡点的稳定性分析。

图1.基于忆阻器的 Hopfield 神经网络模型拓扑结构
4D-FOMHNN动态分析
本文通过数值模拟,结合李雅普诺夫指数、分岔图、相图等分析方法,探究了分数阶数 n与系统核心参数 e、p对 4D-FOMHNN 系统动态行为的调控规律,发现系统存在丰富的非线性动力学现象。
1.分数阶数 n 的影响:
在 0.3~0.7 的阶数范围内,系统随 n 的变化呈现出瞬态混沌、混沌、周期运动等动态行为,且存在明显的倍周期分岔现象;当 n 取特定值0.509时,系统出现共存吸引子。
2.系统参数 e、p 的调控规律
参数 e(0~3):e 在不同区间内,李雅普诺夫指数谱如下图2所示。在 0.63~1.38 区间无正李雅普诺夫指数,处于纯周期状态,2.25~2.56 区间混沌特性显著。

图2. 李雅普诺夫指数谱
参数 e=2, p(0~2.5):李雅普诺夫指数谱和分岔图如下图3所示,在1.05~1.47 区间无正李雅普诺夫指数,处于纯周期状态,1.5~2.08 区间再次经周期分岔进入混沌,2.08 后恢复周期运动。

图3. e = 2的李雅普诺夫指数谱和分岔图
FPGA硬件实现
FPGA 凭借数字化、可重构性与高灵活性的固有优势,成为实现混沌系统的理想硬件平台,兼具很强的适应性与精度。经充分测试后,按照信号生成→数模转换→示波器输出的流程,完成了该混沌系统的 FPGA 硬件实现。
图4. FPGA 连接的示波器显示的混沌吸引子图和器件图
Fractal and Fractional 期刊介绍
主编:Carlo Cattani, University of Tuscia, Italy
期刊主题涵盖包括分形和分数阶微积分基础研究及其在不同科学和工程领域中的应用研究。现已被 SCIE (Web of Science)、Scopus 等重要数据库收录,JCR category rank: 22/136 (Q1),中国科学院2区。
|
2024 Impact Factor
|
3.3
|
|
2024 CiteScore
|
6.0
|
|
Time to First Decision
|
19.9 Days
|
|
Acceptance to Publication
|
2.7 Days
|
特别声明:本文转载仅仅是出于传播信息的需要,并不意味着代表本网站观点或证实其内容的真实性;如其他媒体、网站或个人从本网站转载使用,须保留本网站注明的“来源”,并自负版权等法律责任;作者如果不希望被转载或者联系转载稿费等事宜,请与我们接洽。