导读
基于法拉第效应的光学偏振旋转器已在光学系统中得到广泛应用。然而,受限于本身热效应和损伤阈值,传统光学晶体难以直接用于高功率激光系统中对激光偏振进行调控。近日,国防科技大学余同普教授团队,通过耦合法拉第旋转、非线性等离子体波和光子减速理论建立了变频法拉第旋转模型,并基于此提出一种用于解决相对论强度红外激光脉冲偏振调控的新型磁化等离子体旋转器,该成果为相对论等离子体磁光学领域开辟了新途径,并为强场物理、阿秒科学和实验室天体物理等研究领域提供了新机遇和重要理论指导。
相关研究成果以 “Magnetized plasma rotator for relativistic mid-infrared pulses via frequency-variable Faraday rotation” 为题发表于Light: Science & Applications。论文第一作者为国防科技大学李东澳博士,共同第一作者为国防科技大学张国博副教授,通讯作者为国防科技大学余同普教授。合作单位包括上海交通大学、西安交通大学、德国杜塞尔多夫大学和意大利比萨大学等。
法拉第效应,或称法拉第旋转,是磁光学中的一种重要光学现象, 可用于调控光的偏振。该效应普遍存在于磁活性介质中,是光学隔离器和旋转器、磁场传感器、电流传感器等光学器件的基础。然而,受限于自身热效应和损伤阈值,传统磁活性介质难以作为高功率激光器的偏振调控器件,且在小型化和集成化方面也面临挑战。等离子体作为一种几乎没有损伤阈值的新型介质,能够实现对高功率激光的快速调制。作为带电粒子的集合体,磁化等离子体中的带电粒子在磁场中运动,会改变等离子体的折射率,从而引发法拉第旋转,实现对高功率激光脉冲偏振态的调控。然而,当激光脉冲强度达到或超过相对论强度(≥ 1.37×1018 W/cm2)时,法拉第旋转的物理图像和物理过程将发生显著改变。在此条件下,强激光电场引起的非线性效应变得至关重要,这些非线性效应使得对高功率激光脉冲偏振态的精确操控变得极具挑战。
1. 磁化等离子体旋转器原理
为解决磁化等离子体中强中红外脉冲的产生与偏振调控等问题,研究团队通过耦合非线性等离子体尾波理论、光子减速理论以及相对论法拉第旋转理论建立了变频法拉第旋转模型,基于此提出了一种可用于操控相对论中红外脉冲偏振态的新型磁化等离子体旋转器。该旋转器的原理如图1所示,主要由引导器、转换器和输出器等三个模块组成。在引导器中,驱动激光在磁化等离子体中传播,激发具有弯曲折射率分布的非线性等离子体尾波。在转换器中,驱动激光被分为左旋和右旋圆偏振子脉冲,通过光子减速产生中红外脉冲,并利用外加磁场对中红外脉冲的偏振进行调控。输出器可以将中红外脉冲从等离子体中高效输出,同时保持其光束质量。

图1:基于变频法拉第效应的磁化等离子体旋转器示意图
2. 变频法拉第效应理论模型
为探究磁化等离子体中的电子动力学及驱动激光脉冲的演化规律,研究团队首先从相对论圆偏振激光波动方程入手,得到了相对论法拉第旋转角(RFR):

由上式可知,法拉第旋转角 △Ψ 近似与 λ2/(γ2max) 成正比。在相对论范畴,γ起着关键作用,导致波长较短的激光脉冲(λ/μm<γmax) 在磁化等离子体中更难实现法拉第旋转。然而,在磁化非线性等离子尾波中,驱动激光可转化为长波长的中红外脉冲(λ/μm>γmax),从而缓解相对论效应的影响。考虑光子减速效应后,变频法拉第旋转角(FVFR)可表示为:

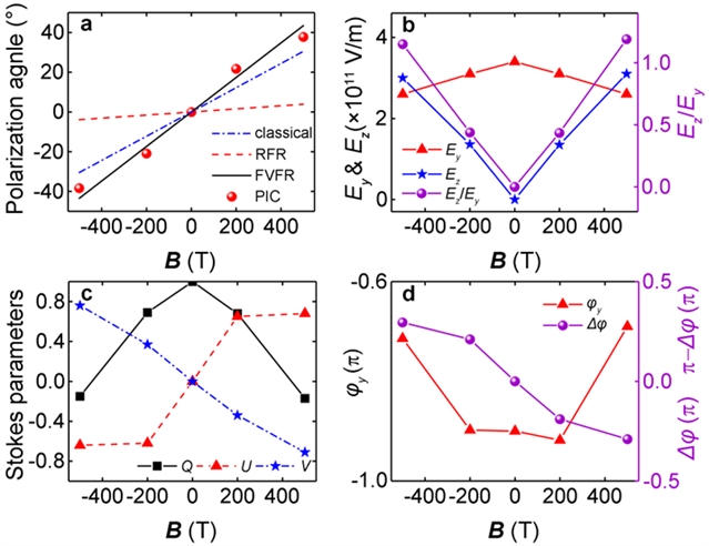
研究团队对经典法拉第旋转方程、相对论法拉第旋转方程、和变频法拉第旋转方程的解析结果与三维粒子模拟(PIC)进行了比较(图2a),其中,RFR是相对论状态下的法拉第旋转角,但尚未考虑波长的变化,因此相对论法拉第旋转角约为经典法拉第旋转的 γ-2 倍,FVFR是通过耦合光子减速和相对论性法拉第旋转得到的法拉第旋转角。结果表明,解析模型较好地预测了 PIC 模拟所得到的中红外脉冲偏振角,同时验证了磁化等离子体旋转器在相对论条件下的正确性。另外,中红外脉冲电场强度、斯托克斯参量和相位与磁场强度的关系(2b-2d)也证明了磁化等离子体旋转器对中红外脉冲偏振的调控能力。

图2:中红外脉冲偏振与外加磁场的关系
3. 中红外脉冲偏振调控
研究表明,无论磁场强度如何,只要外加磁场的方向与驱动激光脉冲的传播方向相同,所产生的中红外脉冲始终是左旋的。在没有外加磁场时,中红外脉冲的偏振与驱动激光脉冲的偏振一致,均为线偏振脉冲。随着外加磁场强度增大,中红外脉冲变为椭圆偏振态,甚至变为圆偏振。此外,当外加磁场方向与激光传播方向相反时,可以产生右旋圆偏振中红外脉冲。

图3:不同外加磁场强度下,中红外脉冲的李萨如图形和斯托克斯参量
总结与展望
本研究将法拉第效应扩展到相对论领域,通过耦合等离子体中的法拉第旋转、非线性等离子体波和光子减速理论建立了变频法拉第旋转模型,这些结果为在实验中设计等离子体旋转器参数提供了重要依据。这种基于变频法拉第效应的新型等离子体旋转器也可用于远红外甚至太赫兹波段,这为强场物理、阿秒科学和实验室天体物理等研究领域提供了新的机遇。这是科研人员首次在磁化等离子体中直接调控相对论强度中红外脉冲的偏振,这一成果标志着在相对论等离子体磁光学领域迈出了重要一步。(来源:中国光学微信公众号)
相关论文信息:https://doi.org/10.1038/s41377-025-02047-x
特别声明:本文转载仅仅是出于传播信息的需要,并不意味着代表本网站观点或证实其内容的真实性;如其他媒体、网站或个人从本网站转载使用,须保留本网站注明的“来源”,并自负版权等法律责任;作者如果不希望被转载或者联系转载稿费等事宜,请与我们接洽。