|
|
|
|
|
快速UV-C光子学:在飞秒时间尺度上产生并探测激光脉冲 |
|
|
导读
在UV-C(100-280 nm)波段工作的光子器件在超分辨显微镜和光通信等方面具有重要应用,有望为科学技术领域带来新的机遇。然而,在该光谱范围内产生和探测超快光信号仍是一个重要挑战。因此,来自英国诺丁汉大学的Benjamin T. Dewes等研究人员提出了一种集成式UV-C光源-传感器平台,该平台将非线性光学晶体中的相位匹配二阶过程与基于二维(2D)半导体的新型室温光电探测器相结合,并对脉冲能量表现出从线性到超线性的光电流响应。
该文章近日发表在国际顶尖学术期刊《Light: Science & Applications》,题为“Fast Ultraviolet-C Photonics: Generating and Sensing Laser Pulses on Femtosecond Timescales”,英国诺丁汉大学的Benjamin T. Dewes是论文的第一作者,来自英国帝国理工学院的John W. G. Tisch和英国诺丁汉大学的Amalia Patané是论文的通信作者。
研究背景
UV-C波段(100-280 nm)的光在超分辨显微镜中实现纳米级成像、生物组织的精准靶向、痕量物质的检测和定量分析、非视距通信等领域具有重要意义。但由于缺乏合适的光子组件,UV-C的发展受到了限制。传统的UV-C激光器中,存在准分子激光器的体积庞大且功耗高;宽带隙二极管激光器输出功率较低;LED的外量子效率较低等问题。
另一方面,UV-C探测技术的进步也在推动UV-C领域的发展,如宽带隙半导体以及在UV-C波段有吸收的二维半导体(hBN、二维金属硫族化合物等)。与传统的UV-C探测技术相比,基于二维半导体的探测器具有兼容性强,同时可在低外加电压下工作。然而,大多数二维半导体材料仍通过自上而下的制造技术获取,开发具有高信噪比、宽频率带宽和精确光谱选择性的可扩展UV-C传感器仍存在重大挑战。
创新研究
研究人员首先展示了UV-C飞秒激光源与半导体传感器的集成示意图(图1a)。飞秒UV- C脉冲是通过在非线性晶体中对1024 nm激光器级联二次谐波(SHG)产生256 nm的四次谐波(FH)得到。该激光器(基频光)的脉冲持续时间为236 fs,FWHM为4.3 nm(图1b和1c)。后续,研究人员计算了互相关轨迹与UV-C脉冲光谱来测量脉冲的持续时间243 fs,FWHM为0.52 nm(如图1d和1e)。

图1. 飞秒UV-C激光脉冲的产生和探测
系统中的UV-C传感器是基于GaSe或其氧化物形成的(图2-4),其中GaSe 晶体通过分子束外延方法在蓝宝石(图 2a)或石墨烯/SiC衬底上生长。后续研究人员还继续聚焦于该传感器对飞秒UV-C的响应(图2b)、传感器电路模型对飞秒UV-C脉冲序列的响应(图2c)等。

图2. UV-C探测的半导体

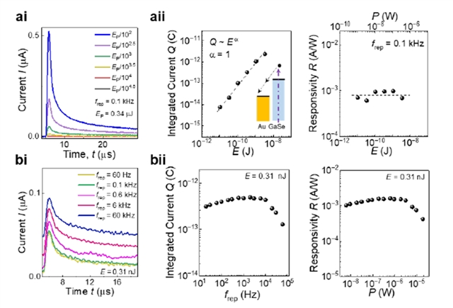
图3. GaSe/蓝宝石探测飞秒UV-C激光脉冲
接下来,研究人员首先研究GaSe对飞秒UV-C激光脉冲的探测。在真空环境下进行了不同脉冲能量(图3ai)以及重复频率(图3bi)下的电脉冲。结果显示Q值随E线性增加且响应度R在不同E下保持恒定(图3aii)。另外,在固定E的情况下,随着f_rep的增加,Q值和R值大致保持恒定,但在高f_rep时会下降(图3bii)。

图4. Ga2O3/石墨烯/SiC探测飞秒UV-C激光脉冲
最后,研究人员继续研究了Ga2O3/石墨烯/SiC对飞秒UV-C激光脉冲的探测情况(图4)。结果显示,Ga2O3/石墨烯/SiC传感器在暗态下表现出绝缘特性,在脉冲模式和连续波模式下的UV-C光照射下,具有较大的通断电流比(图4aii)。Q对脉冲能量E表现出超线性依赖关系,导致R随E或P的增加而增加(图4bii)。此外,在固定E的情况下,随着f_rep或P的增加R值和Q值也会增加(图4c)。
总结与展望
本文中,研究人员开发出集成的UV-C 光源-传感器平台,通过非线性晶体相位匹配二阶过程生成飞秒UV-C激光脉冲,结合二维半导体(GaSe、Ga2O3)室温光电探测器,实现对脉冲的高效探测,传感器还呈现线性至超线性光电流响应,且以自由空间通信系统验证可行性,为UV-C光子学应用奠定基础。
未来,可进一步优化晶体参数提升光源转换效率,改进二维半导体制造工艺增强传感器性能,推动该平台在超分辨成像、环境监测等领域应用,助力开发更紧凑、高效的UV-C光子器件,解锁更多科技应用可能。(来源:LightScienceApplications微信公众号)
相关论文信息:https://doi.org/10.1038/s41377-025-02042-2
特别声明:本文转载仅仅是出于传播信息的需要,并不意味着代表本网站观点或证实其内容的真实性;如其他媒体、网站或个人从本网站转载使用,须保留本网站注明的“来源”,并自负版权等法律责任;作者如果不希望被转载或者联系转载稿费等事宜,请与我们接洽。