|
|
|
|
|
FES【文章概览】基于多模态数据和机器学习的地震易损性和风险评估——以济南市中心城区为例 |
|
|
论文标题:Seismic vulnerability and risk assessment using multimodal data and machine learning: a case study of the central urban area of Jinan City, China
期刊:Frontiers of Earth Science
作者:Yaohui LIU, Xinyu ZHANG, Jie ZHOU, Xu HAN, Hao ZHENG
发表时间:17 Jul 2025
DOI:10.1007/s11707-025-1158-x
微信链接:点击此处阅读微信文章
原文标题
Seismic vulnerability and risk assessment using multimodal data and machine learning: a case study of the central urban area of Jinan City, China

阅读原文
作者
Yaohui LIU, Xinyu ZHANG, Jie ZHOU, Xu HAN, Hao ZHENG
文章概览
地震灾害对生命安全、社会发展和经济构成重大威胁。由于综合数据的可用性有限和判断中的潜在主观性,传统的地震易损性和风险评估,如实地调查方法,可能不适合密集的城市地区。为了克服这些局限性,本文提出一种基于多模态遥感数据、支持向量机和地理信息科学方法的地震易损性和风险评估综合方法,并将其应用于山东省济南市中心城区。首先,选择具有代表性建筑的区域进行实地调查研究,并建立建筑物属性信息数据库。然后,使用SVM方法建立易损性对应规则,在精度验证后将其应用于整个研究区域。最后,在GIScience中分析了不同地震烈度情景(从VI到X)下地震易损性和风险的空间分布。结果表明,济南市中心城区的建筑物平均易损性系数为0.53,表明整体抗震性能处于中等水平。假定地震烈度为VIII的情况下,济南起步区和新城区的建筑物可能遭受“中度”破坏。本研究旨在为评估以人口密度集中和快速城市化为特征的大中型城市的地震易损性和风险提供一种高效准确的方法,并为城市更新、抗震减灾和土地规划提供参考。

图1 研究区域的地理位置。中心城区的详细分布。

图2 济南市中心城区建筑数据库中不同属性的空间分布及占比。(a)建筑年代;(b)楼层数;(c)屋顶类型;(d)结构类型;(e)保存状态。

图3 实地调查区域

图4 本研究工作流程示意图

图5 不同训练集规模之间的精确度和离散度

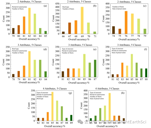
图6 不同建筑属性组合的总体精度

图7 使用5个属性进行SVM训练得到的混淆矩阵

图8 SVM方法获取的EMS-98地震易损性空间分布图

图9 地震易损性指数的空间分布

图10 不同地震烈度下震害等级的空间分布

图11 不同地震烈度下的破坏等级比例

《前沿》系列英文学术期刊
由教育部主管、高等教育出版社主办的《前沿》(Frontiers)系列英文学术期刊,于2006年正式创刊,以网络版和印刷版向全球发行。系列期刊包括基础科学、生命科学、工程技术和人文社会科学四个主题,是我国覆盖学科最广泛的英文学术期刊群,其中12种被SCI收录,其他也被A&HCI、Ei、MEDLINE或相应学科国际权威检索系统收录,具有一定的国际学术影响力。系列期刊采用在线优先出版方式,保证文章以最快速度发表。
中国学术前沿期刊网
http://journal.hep.com.cn

特别声明:本文转载仅仅是出于传播信息的需要,并不意味着代表本网站观点或证实其内容的真实性;如其他媒体、网站或个人从本网站转载使用,须保留本网站注明的“来源”,并自负版权等法律责任;作者如果不希望被转载或者联系转载稿费等事宜,请与我们接洽。